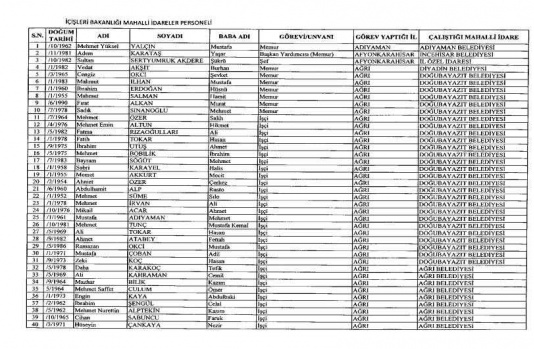
Olağanüstü Hal kapsamında yeni Kanun Hükmünde Kararname yayınlandı. Çok sayıda ihraç var.
Bu bağlantı sizi https://www.istanbulgazetesi.com.tr dışındaki bir siteye yönlendiriyor.